|
要弄清楚这个问题我们从几个方面来讲: 1、网站页面的权重传递是互相的,双向的,可流动的 2、网站关键词的金字塔结构; 2、关键词的层叠性结构,层叠性不但是在单个页面是,在网站的类目构架也是; 3、反向优化底层关键词开始,让权重从底层开始传递,直推到首页核心词的排名上去。 去年12月有一位朋友一个新站刚上线不到1一个月,想选购几十个外链,找我把把关,最后确定了20个PR4和PR5组合的外链。第二天我问他放了些什么关键词,当他把已经上了外链的连接关键词和对应的URL发给我之后,我一下子就懵了:他把20个google权重PR4PR5的外链全部放给了网站的首页。我就跟他说会不会太猛了,而且一次性上去,都直接给首页,被K的可能性很大。我建议他留一部分给到频道页面,购买外链是为了快速提高网站权重,而网站的权重也可以从频道页传递到首页或是详细页面的,不一定都是从首页自上而下传递。 很多时候为了减低首页传递权重的压力可以留部分外链给到其他页面。这里的例子很多,比如大家可以看到像阿里巴巴的B2B网站或是58同城,也或是几个知名的门户网站(网易)的频道页面都安排有友情链接的位置,这样的好处可以让外链给予的权重直接给到频道页面。 网站页面与页面之间的权重传递是相互的,双向的,可流动的。
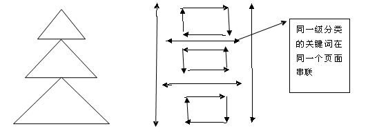
页面与页面之间以“阶梯关键词”有规律串联,同一级别的关键词就在同一级别互相串联,从关键词底层支撑上来,长尾关键词支撑着中心词,直推到首页关键词排名上去,并且形成权重循环,互相传递;比如:与“商务皮鞋”页面串联的应该是跟“商务皮鞋”扩展出来的长尾词页面,这样在“商务皮鞋'这个页面既可以起到关键词的层叠性,增加了关键词的密度,也起到页面之间的互相串联,权重的互相传递,并且他们内容也更加的相关(好像友情链接)。
网站关键词的有规律串联,权重的互相传递(包括关键词网站的构架,页面的层叠性分布)
说明一下:同一级别的关键词需要跟同一级别的关键词互相串联。这个同一级别指的是在关键词在网站的布局中出现在什么位置,比如是在频道页面还是在二级频道页面,在同一个级别频道里面我们视为同一级别,比如有的综合网站有很多品牌,会出现一个频道分类页面,这些“品牌关键词”就是在同一个级别。品牌关键词与品牌关键词之间应该互相串联起来。 推客SEO论坛:( ) 投稿于橙领学堂。欢迎可以加策先生qq群:189322633 共同交流学习,共同进步! (责任编辑:admin) |








