|
要了解深度学习,首先必须了解“深度学习”的前身:神经网络与神经元的概念。
关于神经网络与深度学习的概念和区别,我在“机器学习(一)”那篇文章已经展现就不赘述了。 深度学习可以说是目前“人工智能浪潮”火热的一个根本原因,就是因为它的兴起,其中包括深度神经网络、循环神经网络和卷积神经网络的突破,让语音识别、自然语言处理和计算机视觉等基础技术突破以前的瓶颈。而要了解深度学习,就必须首先了解“深度学习”的前身,神经网络与神经元的概念。 一、神经元的构成 神经元可以说是深度学习中最基本的单位元素,几乎所有深度学习的网络都是由神经元通过不同的方式组合起来。 一个完整的神经元由两部分构成,分别是“线性模型”与“激励函数”。如果看过之前的文章,相信可以回忆起其中“线性回归”和“激励函数”的概念
1.线性模型 (1)构成 假设这个线性模型的函数: y=wx+b(有木有很熟悉),其中x是一个1xn的向量矩阵,矩阵中的每个向量值即代表样本一个特征的值,w为nx1的权重矩阵(对应向量的所占的比重),b为偏置项。 (2)工作流程 以判定一个苹果的品质为例,我们假定y代表品质变量,x为1×3矩阵,w为3×1矩阵(偏置忽略为0的情况下),具体如下
x矩阵里的向量值“1、2、3”分别代表一个数据中提取出来的特征向量的值。
w矩阵里的“0.2、0.6、0.7”分别代表每个特征向量的权重取值大小。 这两个矩阵相乘,最终会得到一个实数(涉及到数学矩阵运算,并非所有都会是实数哦~) 1X0.2+2X0.6+3X0.7=3.5 得到的3.5即我们拟合出来的一个苹果的品质假定为y1,用这个值与已经标定好的真实品质y0做差,就可以得到一个数据的拟合值与真实值的误差,当然真实的计算这可是海量数据计算 用到我第一章分享“线性回归”中对全局性误差函数的定义
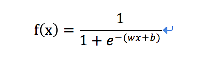
通过这个函数来描述所有数据拟合值与真实值之间的关系,目的也是和机器学习一样,最终是要找到一个符合要求的Loss与w,b之间的映射关系 以上单个神经元中“线性模型”的运算流程,本质和机器学习中的“线性回归”过程是没有区别的 2.激励函数 (1)激励函数的作用 激励函数位于一个神经元线性模型之后,也有翻译成激活函数。它的作用有两个: 加入“非线性”因素 根据不同训练目的的需要,进行数学函数映射 为什么要加入“非线性”因素,那是因为“现实世界”的数据不可能都是线性的,如果你强行用“线性模型”去拟合非线性数据,最后得到的结果肯定是“欠拟合” 怎么理解数学函数映射呢,在这里拿最常用的Sigmoid函数举例 Sigmoid函数定义:
激励函数之前的线性模型“y=wx+b”已经经过运算得到了一个实数(即前面的3.5) 可以作如下的推导
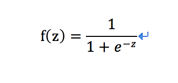
则激励函数sigmoid变为
下图为Sigmoid函数图形,由图像可以看出,最初的x经过“线性模型”映射为z(z理论上可以为任意大小的实数),而z经过激励函数的再一次映射,最后的输出必然为了【0,1】区间的实数,这就实现了一次数学函数的映射。 它可以实现一个简单的概率分类判断,假定“0”和“1”各代表一个概念,那么最后的输出在区间【0,1】,更接近“1”,就代表它是更可能是“1”所代表的概念
(2)激励函数的种类 (责任编辑:admin) |














